中国人民银行定于2021年6月21日起陆续发行中国共产党成立100周年纪念币一套
一、金质纪念币和银质纪念币
(一)纪念币图案。
1.正面图案。
金质纪念币和银质纪念币正面图案均为中华人民共和国国徽辅以牡丹花组合设计,并刊国名、年号。

2.背面图案。
8克圆形金质纪念币背面图案为党徽、上海中共一大会址、浙江嘉兴南湖红船、天安门、礼花、牡丹花、飘带等组合设计,并刊“庆祝中国共产党成立100周年”字样及面额。

8克圆形金质纪念币背面图案为党徽、城市建筑、高铁、绿水青山、美丽乡村、拓荒牛、飘带等组合设计,并刊“庆祝中国共产党成立100周年”字样及面额。

8克圆形金质纪念币背面图案为党徽、射电望远镜(中国天眼)、网络及数字信息抽象符号、大型国际机场、飘带等组合设计,并刊“庆祝中国共产党成立100周年”字样及面额。

150克长方形银质纪念币背面图案为《信仰》雕塑局部造型,辅以中国共产党历史展览馆馆徽等组合设计,并刊“庆祝中国共产党成立100周年”字样及面额。
150克长方形银质纪念币背面图案为《伟业》雕塑局部造型,辅以中国共产党历史展览馆馆徽等组合设计,并刊“庆祝中国共产党成立100周年”字样及面额。
150克长方形银质纪念币背面图案为《攻坚》雕塑局部造型,辅以中国共产党历史展览馆馆徽等组合设计,并刊“庆祝中国共产党成立100周年”字样及面额。
150克长方形银质纪念币背面图案为《追梦》雕塑局部造型,辅以中国共产党历史展览馆馆徽等组合设计,并刊“庆祝中国共产党成立100周年”字样及面额。
30克圆形银质纪念币背面图案为中国共产党成立100周年庆祝活动标识,辅以《长城颂》漆壁画组合设计,并刊“庆祝中国共产党成立100周年”字样及面额。
(二)纪念币规格和发行量。
8克圆形金质纪念币为精制币,含纯金8克,直径22毫米,面额100元,成色99.9%,最大发行量3×20000枚。
150克长方形银质纪念币为精制币,含纯银150克,规格80毫米×50毫米,面额50元,成色99.9%,最大发行量4×10000枚。
30克圆形银质纪念币为精制币,含纯银30克,直径40毫米,面额10元,成色99.9%,最大发行量200000枚。
(三)金质纪念币和银质纪念币由沈阳造币有限公司、上海造币有限公司和深圳国宝造币有限公司铸造,中国金币总公司总经销。销售渠道详见中国金币网(www.chngc.net/qd)。
(一)纪念币图案。
1.正面图案。
双色铜合金纪念币正面图案为中华人民共和国国徽,国徽上方刊“中华人民共和国”国名,下方刊年号“2021”字样。
2.背面图案。
双色铜合金纪念币背面主景图案为中国共产党成立100周年庆祝活动标识,辅以花卉、飘带、光芒线等设计元素。主景图案上方刊“庆祝中国共产党成立100周年”字样,下方刊面额“10元”字样。
(二) 纪念币面额、规格、材质和发行数量。
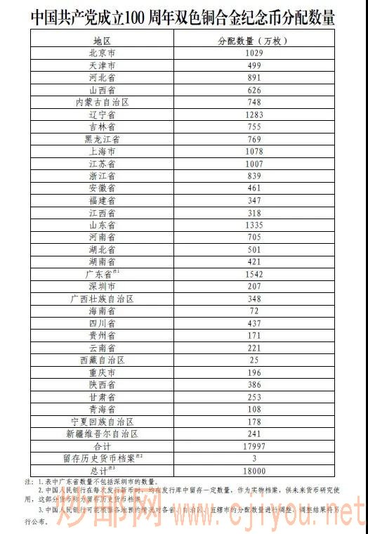
双色铜合金纪念币面额10元,直径27毫米,材质为双色铜合金,发行数量1.8亿枚(含留存历史货币档案3万枚),各省、自治区、直辖市双色铜合金纪念币分配数量如下:
(三)发行方式。
双色铜合金纪念币采取预约兑换方式,分两批次发行。具体发行工作安排如下:
1.承办预约兑换工作的银行业金融机构
中国工商银行、中国农业银行、中国银行、中国建设银行、交通银行、华夏银行、浦发银行、中国邮政储蓄银行(以下统称预约承办银行)共同承担中国共产党成立100周年双色铜合金纪念币的预约兑换工作。各地区具体安排如下:
|
地区 |
预约承办银行 |
|
北京市 |
中国工商银行、中国建设银行 |
|
天津市 |
中国银行、交通银行、华夏银行、浦发银行、中国邮政储蓄银行 |
|
河北省 |
中国农业银行、中国建设银行 |
|
山西省 |
中国银行、交通银行、华夏银行、浦发银行、中国邮政储蓄银行 |
|
内蒙古自治区 |
中国工商银行、交通银行、华夏银行、浦发银行、中国邮政储蓄银行 |
|
辽宁省 |
中国工商银行、中国邮政储蓄银行 |
|
吉林省 |
中国工商银行、华夏银行、浦发银行、中国邮政储蓄银行 |
|
黑龙江省 |
中国工商银行 |
|
上海市 |
中国工商银行、交通银行 |
|
江苏省 |
中国农业银行 |
|
浙江省 |
中国农业银行、中国建设银行、交通银行 |
|
安徽省 |
中国农业银行、交通银行、华夏银行、浦发银行、中国邮政储蓄银行 |
|
福建省 |
中国工商银行、中国银行、中国建设银行、中国邮政储蓄银行 |
|
江西省 |
中国农业银行、交通银行、华夏银行、浦发银行、中国邮政储蓄银行 |
|
山东省 |
中国农业银行、中国邮政储蓄银行 |
|
河南省 |
交通银行、浦发银行、中国邮政储蓄银行 |
|
湖北省 |
中国工商银行、交通银行、华夏银行、浦发银行、中国邮政储蓄银行 |
|
湖南省 |
中国银行、中国建设银行、交通银行、华夏银行、浦发银行、中国邮政储蓄银行 |
|
广东省 |
中国工商银行、中国农业银行 |
|
深圳市 |
中国工商银行、交通银行、华夏银行、浦发银行、中国邮政储蓄银行 |
|
广西壮族自治区 |
中国银行、交通银行、华夏银行、浦发银行、中国邮政储蓄银行 |
|
海南省 |
中国农业银行、交通银行、华夏银行、浦发银行、中国邮政储蓄银行 |
|
四川省 |
中国农业银行 |
|
贵州省 |
中国农业银行 |
|
云南省 |
中国建设银行、中国邮政储蓄银行 |
|
西藏自治区 |
中国农业银行 |
|
重庆市 |
中国银行、中国邮政储蓄银行 |
|
陕西省 |
中国工商银行、交通银行、华夏银行、浦发银行、中国邮政储蓄银行 |
|
甘肃省 |
中国建设银行、中国邮政储蓄银行 |
|
青海省 |
中国农业银行、交通银行、华夏银行、浦发银行、中国邮政储蓄银行 |
|
宁夏回族自治区 |
中国建设银行、中国邮政储蓄银行 |
|
新疆维吾尔自治区 |
中国农业银行 |
2021年8月25日前,中国人民银行分支机构将向社会公告当地中国共产党成立100周年双色铜合金纪念币两批次的分配数量等信息;预约承办银行将在其官方网站公布中国共产党成立100周年双色铜合金纪念币两批次预约兑换网点和每个网点的可预约数量等信息。
3.预约安排
预约承办银行于2021年8月31日至9月4日同时办理中国共产党成立100周年双色铜合金纪念币两批次的预约业务。公众可通过预约承办银行官方网站等线上渠道或在营业时间内前往预约承办银行公布的预约兑换网点进行预约登记。
4.预约兑换限额
中国共产党成立100周年双色铜合金纪念币每人每批次预约、兑换限额为20枚。
5.身份证件要求
中国共产党成立100周年双色铜合金纪念币预约、兑换的有效身份证件必须为第二代居民身份证原件。
公众在预约承办银行网点办理现场预约的,须持本人有效第二代居民身份证原件;代他人办理现场预约的,须提供代办人和被代办人的有效第二代居民身份证原件,且被代办人数不超过5人。
6.预约核实期安排
2021年9月8日至9月14日为预约核实期。预约核实期内,未通过核查的公众可持预约登记使用的第二代居民身份证原件,前往预约登记的预约承办银行网点办理撤销违约记录及保留兑换资格业务。具体办理流程见《中国人民银行公告》(〔2019〕第26号)。
公众如代他人办理撤销违约记录及保留兑换资格业务,须提供代办人和被代办人的第二代居民身份证原件。
7.兑换安排
中国共产党成立100周年双色铜合金纪念币第一批次于2021年9月15日至21日办理预约兑换,第二批次于2021年11月1日至7日办理预约兑换。公众可按照约定的时间,持在预约系统中登记的有效身份证件,前往约定的预约承办银行网点办理预约兑换业务。
公众如代他人领取中国共产党成立100周年双色铜合金纪念币,须持被代领人在预约系统中登记的第二代居民身份证原件办理,且被代领人数不超过5人。
8.预约兑换信息公布
中国人民银行、预约承办银行将在中国共产党成立100周年双色铜合金纪念币预约和兑换期的每个工作日,在其官方网站公布全国各地区网上预约、现场预约及预约兑换进度。中国人民银行上海总部,各分行、营业管理部、省会(首府)城市中心支行、深圳市中心支行将在中国共产党成立100周年双色铜合金纪念币预约和兑换期的每个工作日,在其官方网站公布辖区各地市网上预约、现场预约及预约兑换进度,在中国共产党成立100周年双色铜合金纪念币发行期间公布全国各省(区、市)监督举报电话。欢迎公众查询并监督。
(四)双色铜合金纪念币公众防伪特征。
1.双金属结构和内芯复合材料
硬币外环为黄铜合金,内芯为具有独特机读性能的镍带复合白铜材料。
硬币外缘分布有交替排列的斜全齿与半齿。
3.隐形图文
将硬币倾斜适当角度,可在背面下方飘带上,观察到隐形图文“100”。
4.微缩文字
在硬币背面的花瓣上,可观察到微缩文字“J”“D”“B”“N”。

(五)双色铜合金纪念币与现行流通人民币职能相同,与同面额人民币等值流通。







571